DIVISION OF ALGEBRAIC EXPRESSION OF MONOMIAL BY MONOMIAL -
Dividing one monomial by another monomial is a relatively straightforward operation in algebra. When you divide a monomial (a single-term expression) by another monomial, you can simply divide their coefficients (numeric values) and subtract the exponents of the variables. Here's how it works:
Let's say you have two monomials:
To divide M₁ by M₂, follow these steps:
a₁
---------
a₂
2. Subtract the exponents of the variables (n and m):-
xⁿˉᵐ
Now, you have the result of dividing the monomial M₁ by the monomial M₂:
a₁ xⁿ a₁
---------- = -------- xⁿˉᵐ
a₂ xᵐ a₂
Here's an example to illustrate this:
Divide the monomial 4x⁵ by the monomial 2x².
M₁ = 4x⁵
M₂ = 2x²
4
2
2. Subtract the exponents of the variables: 5 − 2 = 3
So, the result is:
4x⁵ 2
--------- = ------- x⁵ˉ² = 2x³
2x² 1
Therefore, when you divide the monomial 4x⁵ by the monomial 2x², the result is 2x³. (Ans.)
When you divide a monomial by another monomial, you are essentially performing a simple division of coefficients and subtracting the exponents of the variables. Here's how to do it:
Let's say you want to divide one monomial, M₁, by another monomial, M₂ :
Where:
To divide M₁ by M₂, follow these steps:
a₁
----------
a₂
2. Subtract the exponents of x :
n - m
3. Put it all together:
a₁
--------- xⁿˉᵐ
a₂
So, when you divide M₁ by M₂, you get the result as:
a₁
--------- xⁿˉᵐ
a₂
Here are some examples to illustrate this:
M₁ = 3x⁵
M₂ = 2x²
M₁ 3x⁵ 3 3
------- = -------- = ------- x⁵ˉ² = ------ x³ (Ans.)
M₂ 2x² 2 2
2. Divide 4x⁴ by 7x²
M₁ = 4x⁴
M₂ = 7x²
M₁ 4x⁴ 4 4
-------- = -------- = ------- x⁴ˉ² = ------- x² (Ans.)
M₂ 7x² 7 7
3. Divide 2x⁷ by 2x³
M₁ = 2x⁷
M₂ = 7x²
M₁ 2x⁷ 1
-------- = --------- = ------- x⁷ˉ³ = x⁴ (Ans.)
M₂ 2x³ 1
So, when you divide one monomial by another, you simply divide the coefficients and subtract the exponents of the variables to obtain the simplified result.
Divide Monomial by Monomial via Finding the Coefficient -
Example.1) Divide 32a³b⁷c² by 4ac⁴b⁵
Ans.)

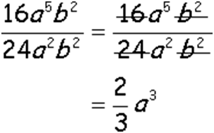
Example.2) Divide 16a⁵b²by 24a²b².
Ans.)
